Érase una vez un jardín de inimaginable belleza y abundancia. Gozaba de un clima perennemente benévolo, con árboles cuyas ramas cuajadas de frutos jugosos regalaban a los moradores del vergel toda clase de dulces alimentos. Las espigas enrubiaban todo el año en una cosecha perpetua, las mazorcas de maíz maduraban continuamente.
Todos los vegetales del jardín existían con un único propósito: cubrir toda necesidad de sus habitantes, alimentándolos, vistiéndolos, recreando sus sentidos.
Esos dichosos habitantes, siento decirlo, no somos nosotros.
Y ese jardín es un mito, como también lo es la idea de que los vegetales estén aquí para servirnos, o para cumplir nuestros deseos.
Las plantas están aquí para sobrevivir y reproducirse, como todo hijo de vecino. No tienen el más mínimo interés en ayudarnos, p. ej. alimentándonos, de forma altruista o desinteresada; al fin y al cabo, ¿por qué deberían hacerlo?
Hoy en día todos nos pregonan las bondades de una dieta rica en vegetales. Por otro lado, cuando descubrimos que algunos de ellos contienen compuestos tóxicos cuyo objetivo no es precisamente alegrarnos las papilas gustativas, nos sorprendemos de cuán malvadas son algunas plantas, que quieren colarnos veneno en la cazuela.
Entonces podríamos caer en la tentación de acusar a algunos vegetales de ser un peligro para nuestra salud (¿como las almortas, quizás?), mientras ensalzamos a otros como ‘superalimentos’ cuya ingestión nos reportará únicamente beneficios.
Sin embargo, conviene no olvidar que, a excepción de la fruta, los vegetales no han producido absolutamente nada —ni raíces, ni tallos, ni hojas, ni flores— pensando en regalárselo a algún herbívoro hambriento. Importándoles un soberbio comino que los demás pasemos hambre, lo que van a hacer las plantas será defenderse para no ser comidas.
Cuando estemos ante un plato de espinacas, o una bolsa de patatas fritas, o un vaso de sidra, nos podemos preguntar:
¿Al vegetal le conviene que yo me coma parte (o todo) de él? ¿Lo está ayudando a sobrevivir o a reproducirse mejor?
Si la respuesta es NO, entonces es muy probable que haya intentado colarte en el plato algo tóxico, o desagradable, o anti-nutritivo.
(que lo haya conseguido o no depende, entre otras cosas, de si estás comiendo vegetales domesticados, de si su domesticación ha conllevado una pérdida o disminución de su toxicidad, o de cómo se haya procesado el vegetal antes de comerlo).
Y creo que, si estuviésemos en su lugar, todos haríamos lo mismo. No pudiendo escapar de sus depredadores, las plantas han tenido que ingeniárselas para combatir contra los herbívoros sin moverse del sitio. Los mecanismos usados son principalmente de dos grandes tipos: físicos (espinas y púas, hojas duras de roer, o muy peludas…), y químicos (p. ej. con compuestos amargos, o avisos químicos para atraer a depredadores del herbívoro que se les ha echado encima…).
Esta química vegetal defensiva, y perfectamente lícita en aras a la supervivencia de la pobre planta, es la que nos pone en aprietos de vez en cuando—a nosotros, y a cualquier otro herbívoro que intente merendársela sin contar con el equipo de desintoxicación adecuado.
Recordemos, sin embargo, que la toxicidad de cualquier sustancia es sólo cuestión de dosis; y que, en ocasiones, lo que separa un efecto beneficioso de uno pernicioso no es el compuesto, sino la cantidad ingerida.
(Otras veces, en cambio, su ingesta sólo conlleva problemas, más o menos graves; ejemplos son enfermedades poco agradables, como el latirismo o el cretinismo, a las que creo que todos renunciamos bien contentos. Otra cosa distinta son las enfermedades contraídas por carencias nutricionales en la dieta, que no por presencias tóxicas en ella; en estas, hoy no entro).
La cantidad de sustancias químicas que pueden ser ‘peligrosas’ son legión, y las encontramos tanto en vegetales silvestres, como domesticados. Sin embargo, la mayoría suelen pasarnos desapercibidas, por varias razones, como puedan ser:
- No solemos comer la parte del vegetal que podría causarnos problemas;
- No consumimos los compuestos en cantidades suficientes, o bajo las circunstancias necesarias, como para que se conviertan en problemáticas;
- El procesado previo a su ingestión elimina o inactiva los compuestos en cuestión, o los reduce a concentraciones manejables—en cuyo caso volvemos a la situación (b);
- Sólo causa problemas a individuos con una predisposición genética que los convierte en ‘sensibles’ a tal o cual compuesto, frecuentemente exacerbada por condiciones ambientales.
¿Suena muy abstracto?
Tod*s tranquil*s, que ahora concretamos.
Y, para ello, pongamos unos cuantos ejemplos que nos ayuden a entender mejor de lo que hablo.
***
1. El enemigo en las pepitas de manzana
Si nos atenemos a la imaginación mitológica de Occidente, no parece haber una fruta más tentadora que la manzana (Malus x domestica): entre árboles paradisíacos prohibidos y diosas que se pelean por manzanas de oro, los mitos han endosado a esta poma la fama de ser deliciosamente irresistible.
Siendo una fruta, su misión en esta vida es conseguir proteger y dispersar las semillas agazapadas en el corazón de la manzana; y, ya que los agentes dispersores son animales, conviene tener algo con que sobornarlos para que cumplan los deseos del manzano… que es la manzana misma.
(Con razón es tentadora: ¡porque a la planta le conviene!)
Pero, ojo: las semillas deben sobrevivir a la glotonería de los animales para que la estrategia funcione. Por ello no debería extrañarnos que sean tóxicas.
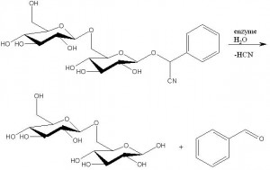
Para ello, el manzano se ha acogido, como muchos otros vegetales, a una estrategia química de eficacia probada: la cianogénesis.
La cianogénesis es un proceso que supone la liberación de cianuro de hidrógeno (HCN), a partir de compuestos endógenos que contienen cianuro.
El cianuro de hidrógeno, para los que no entiendan mucho de venenos, es tremendamente tóxico. Interfiere con funciones vitales para las células, tanto animales como vegetales (impiden que se complete correctamente la respiración celular).
Pero, si es tan venenoso, ¿cómo es posible que las plantas lo usen como mecanismo de defensa, sin envenenarse a sí mismas en el proceso?
Pues con un ingenioso truco: en lugar de acumular directamente HCN en sus células (lo que las mataría), acumulan compuestos que, cuando entran en contacto con ciertos enzimas especializados, liberan HCN. Estos compuestos son, en su mayoría, lo que llamamos glucósidos cianogénicos, y como es lógico la planta tiene que guardarlos en un compartimento distinto al lugar donde guarda los enzimas que los degradarán para producir cianuro de hidrógeno.
Entonces, se trata de un arsenal químico silencioso, que no se activa hasta que no se produce una ruptura mecánica de la célula: en ese momento, los compartimentos que separaban glucósidos de enzimas especiales se rompen, se junta el hambre con las ganas de comer, y, ¡ale, al rico HCN intoxica-herbívoros!
De ello se deduce que, en el caso de las pepitas de manzana, hay que masticarlas y tragarlas para que se active el proceso; el glucósido que nos crea problemas en este caso es la amigdalina, que también encontramos en otros frutos como la almendra.
El proceso de envenenamiento se produce en el intestino, horas después de que se hayan ingerido las pepitas; el único caso fatal que me consta por envenenamiento manzano-pepitil es el de un señor que, vaya usted a saber por qué razón, masticó y tragó una taza entera de semillas de manzana. No se trata de una experiencia agradable, según he leído: dolores abdominales, vómitos, sudoración y letargia, que en los casos de mayor severidad puede llevar al coma, convulsiones, y colapso cardiovascular.
La manzana no se anda con chiquitas cuando uno intenta comerse a sus retoños.
En general, y salvo excepciones algo extravagantes (como el señor que se murió… aún sigo extrañada, la verdad), no vamos por ahí comiéndonos las pepitas de la manzana, así que no solemos entrar en contacto con la amigdalina y sus desagradables efectos.
Sin embargo, atentos los jovencitos amantes de la sidra: si son portadores de las mutaciones responsables de la neuropatía óptica hereditaria de Leber (NOHL, o atrofia óptica de Leber), y la sidra ha sido realizada sin retirar las pepitas antes, su contenido en cianuro podría precipitar la ceguera de los bebedores.
En cambio, los que no estamos aquejados de NOHL (que somos la mayoría) podemos beber sidra sin preocuparnos.
***
2. Los viajes africanos de la yuca
Otros han escrito ya sobre la interesantísima historia de la yuca (Manihot esculenta) en América (véase Historia de la yuca, la mandioca y el cazabe o casabe, y La yuca, alimento prehispánico); sin embargo, este vegetal se convirtió en trotamundos empedernido con los albores de la época imperialista/colonial europea.
No conforme con un continente, saltó a tierras africanas siguiendo las rutas de la esclavitud que unieron costas lejanas para dispersar familias, culturas—y vegetales.
Al parecer, la primera introducción se produjo desde Brasil gracias a los portugueses a principios del s. XVI, que la implantaron en la costa occidental del continente; una segunda introducción se habría producido en África oriental dos siglos más tarde.
La difusión fue aparentemente lenta, con alguna que otra excepción, pero pese a las resistencias iniciales, hoy en día la yuca (o mandioca) se cultiva en unos 40 países africanos (entre ellos Nigeria, Ghana, la República Democrática del Congo, Costa de Marfil, Uganda y Tanzania), siendo la base de la subsistencia de más del 45% de la población en África subsahariana.
Uno podría preguntarme, ¿y qué tiene que ver todo esto con los venenos vegetales?
Pues bien.
Tiene que ver muchísimo, puesto que las variedades de yuca ‘amargas’ son tremendamente tóxicas si no se procesan adecuadamente. Ello no sólo fue motivo de sorpresa para los españoles al llegar a las Américas (¿culturas que se alimentan de vegetales tóxicos? ¿Procesos de detoxificación elaborados? ¡Nunca nadie vio nada parecido en la península!), sino que también ha sido fuente de notables problemas de salud—y sigue siéndolo en algunas zonas de África.
Los problemas pueden achacarse, una vez más, sobre todo a la cianogénesis, uno de los muchos mecanismos de defensa con que la yuca se arma contra depredadores hambrientos. En este caso los glucósidos cianogénicos principales son la linamarina y la lotaustralina. Y, allí donde la amigdalina de unas pocas pepitas de manzana, por infrecuentes en la dieta, no suele ser causa de preocupación, el efecto cianogénico de la yuca sí es serio, llegando a ser letal si se consume sin procesar.
Además, no basta cualquier procesado; el simple hervido, por ejemplo, no es suficiente—ya que, si bien inactiva los enzimas de la planta que, en contacto con linamarina y cía., provocan la liberación de HCN, el agua hirviendo les hace cosquillas a los glucósidos cianogénicos, que se quedan tan panchos y contentos, listos para intoxicarnos.
Pero… un momento. ¿No hacían falta enzimas para desatar las furias cianogénicas de estos compuestos?
A lo que respondo, sí… y no.
Pues, por lo que se ve, también se hidrolizan en presencia de ácidos débiles… y el pH de nuestro aparato gastrointestinal es ácido. Así que no nos libramos. Si los glucósidos cianogénicos quedan expuestos a ácidos, liberarán HCN (si están encerraditos en una cápsula hermética y resistente, como las semillas de manzana sin machacar, entonces estamos a salvo).
Las ironías de la vida quieren que, de hecho, pueda resultar mucho más seguro y conveniente no desactivar las enzimas cianogénicas de plantas como la yuca durante su procesado.
¿Que por qué?
Muy sencillo: porque podemos usarlas a nuestro favor, para que nos detoxifiquen ellas solas nuestra cena. Por ejemplo, si pongo la yuca machacada en remojo y la dejo tranquila unos días, pondré en marcha el proceso de liberación de HCN antes de comérmela, utilizando los mecanismos de defensa de la planta contra sí misma: lo que estaba destinado a intoxicarnos al darle un mordisco, al cabo de un tiempo va a proporcionarnos un plato libre de compuestos peligrosos.
En cambio, consumir yuca mal procesada (p. ej. si no esperamos lo suficiente a que los enzimas hayan liberado todo el HCN que había para liberar) puede conllevar problemas considerables (p. ej. enfermedades como el konzo en África).
Lo curioso es que nadie ha oído hablar de intoxicaciones por yuca en América, pese a ser la cuna de Manihot esculenta, y haberse consumido allí durante milenios. Pensemos que los primeros restos arqueológicos conocidos se han hallado en Panamá (con una antigüedad de unos 7000-7800 años); sin embargo, la zona en la que se cree fue domesticada se halla más al sur, en la cuenca amazónica.

Ahí está nuestro indio raspando yuca; la planta monstruosamente grande junto a él es, teóricamente, la yuca misma… (el ilustrador no entendía mucho de proporciones).
Con estos datos en la mano, uno puede empezar a hacerse preguntas intrigantes.
En primer lugar, ¿por qué la yuca? ¿Qué se nos ha perdido cultivando un vegetal que puede matarnos al mínimo descuido, llegando incluso a basar la dieta entera sobre su consumo?
Desde luego, no es por falta de alternativas; si nos fijamos en el continente africano, podían elegir otras muchas plantas, tanto indígenas como introducidas. Y, sin embargo, el área cultivada de yuca crece y se afianza. ¿Por qué?
¿Por qué da problemas de salud en África, pero no en América, siendo tan tóxica en un continente como en el otro?
El tema daría para un artículo entero (de hecho, hay excelentes artículos al respecto, que indico en la bibliografía), pero me limitaré a dar unas pinceladas para arrojar un poco de luz sobre la cuestión.
La paradoja del cultivo de vegetales tóxicos no se limita a la yuca; podemos citar otras plantas como la almorta o las patatas, ambas con mecanismos químicos de defensa (si bien distintos). Pero, incluso ciñéndonos a la cianogénesis, los datos parecen indicar que la proporción de plantas cianogénicas domesticadas es mayor de la que nos esperaríamos si la comparamos con la existente en el mundo vegetal entero: es casi como si hubiésemos elegido domesticar plantas cianogénicas con mayor frecuencia que otras menos peligrosas.
Pero, ¿por qué?
Una respuesta se nos puede ocurrir al caer en la cuenta de que, al igual que son tóxicas para nosotros, también son tóxicas para otros herbívoros que se las quieran comer: son vegetales con pesticidas incorporados, que saben defenderse solos de insectos hambrientos. En situaciones de inestabilidad alimentaria, poder contar con un vegetal que se las arregla él solito y da buenos resultados incluso lidiando con plagas, sequía, y suelos pobres, no es moco de pavo.
Cierto, es tóxica. Pero entonces, ¿por qué los efectos de su toxicidad se hacen sentir en África, y no en América?
Quizás el motivo principal sea, precisamente, que es en América donde fue domesticada, y donde su historia socio-biológica es más rica.
Osease: que los pueblos amerindios han tenido mucho tiempo para refinar y adaptar sus mecanismos de preparación de la yuca para evitar el envenenamiento. El resultado es una disminución de más del 90% de la toxicidad de la yuca tras el procesado.
En África, la yuca llegó sin instrucciones de uso—o, cuando menos, con instrucciones de uso incompletas. Los portugueses pudieron transmitir lo que buenamente habían aprendido de los Tupinambá en Brasil, pero muchos elementos clave del proceso para detoxificarla* correctamente se perdieron por el camino.
*Detoxificar es un verbo que, a ojos de la RAE, no existe. Soy consciente de ello. Sin embargo, la alternativa sería “eliminar toxinas de” (muy largo y poco práctico; además, no me gusta nada la palabra toxina); o, en su defecto, “desintoxicar”, pero su definición (que implica una intoxicación previa por parte de algún sujeto) no corresponde a lo que quiero expresar con este verbo malamente mangado del inglés. Así que, ¿qué quiero decir con detoxificar? Pues exactamente lo que significa detoxify: eliminar sustancias tóxicas de algo (que en este caso es la yuca). Se desintoxican las personas o los animales, pero puedo detoxificar vegetales, sustancias inertes, etc.
Con una premisa semejante, puede resultar sorprendente comprobar que muchas de las técnicas inventadas en África para procesar la yuca son muy eficaces; sin embargo, como el sistema yuca-personas aún no ha tenido mucho tiempo para evolucionar, no todas las comunidades las conocen o aplican eficazmente, y por ello no siempre consiguen eliminar los tóxicos de la yuca, o no lo suficiente.
Una consecuencia del consumo de derivados de yuca con elevados contenidos de compuestos cianogénicos es la intoxicación crónica por cianuro. A ella se achacan, por ejemplo, los brotes de konzo en ciertas zonas africanas.
El konzo es una enfermedad neurológica que causa parálisis irreversible de las extremidades inferiores, y que afecta sobre todo a niños y mujeres en edad fértil en zonas rurales pobres de África. Está asociada con un consumo monótono, y elevado, de yuca ‘amarga’ insuficientemente procesada, que suele ser prácticamente el único alimento que consumen en condiciones climáticas difíciles (p. ej. meses de sequía).
Uno podría pensar que la solución está clara: si son linamarina y cía. quienes me causan problemas, procesemos la yuca de tal forma que su contenido tóxico quede eliminado, y así desaparece el konzo.
Lo cual es, al parecer, cierto.
Sin embargo, existe otra inesperada y curiosa solución, que explicaría por qué entre varios pueblos, todos ellos comiendo yuca a destajo en la estación de sequía, algunos enferman de konzo, y otros no.
La diferencia entre ellos no está en el procesado de la yuca, sino en el resto de la dieta: y es que algunos, además de yuca, pueden comer pescado (si viven cerca de un río, o del mar), o alguna pieza de caza que consiguen atrapar.
El hecho de comer pescado o carne no hace que los alimentos a base de yuca sean menos tóxicos, no. Lo que hacen es aportarnos herramientas para que nuestro organismo consiga deshacerse de los componentes venenosos con mayor eficacia.
(en concreto, nos aportan proteínas ricas en azufre, contenido en los aminoácidos esenciales metionina y cisteína; estos aminoácidos son imprescindibles para convertir el cianuro en tiocianato, menos tóxico, y que somos capaces de excretar; con todo, también el tiocianato, sobre todo a elevadas concentraciones, puede darnos problemas).
Si la dieta es deficiente en azufre, en cambio, nuestro organismo transforma el cianuro en cianato, (—OCN), una neurotoxina que podría jugar un papel en el desarrollo del konzo.
Así, no se trata únicamente de cuán tóxica es una planta, sino de las sustancias aportadas por el resto de la dieta, y de cómo interactúan con las toxinas en cuestión.
Todo mucho más complicado e interesante de lo que podría parecer a primera vista, ¿verdad?
***
3. Berzas bociosas
(no les voy a dedicar tanto espacio como a la yuca, prometido. Es que la yuca… es mucha yuca).
En general, las sustancias tóxicas de los vegetales tienen algo en común: saben mal.
Saben amargo.
Todo herbívoro que se precie espabila rápidamente, y aprende que encontrarse con algo amargo en la boca puede ser mal asunto. Se cree que es precisamente en respuesta a esta característica gustativa de los venenos vegetales por lo que hemos desarrollado la capacidad de percibir el gusto amargo, gracias a una familia de receptores que llamamos TAS2R.
Como buena familia que es, sus miembros se parecen (todos están ojo avizor, a la caza de amargores en el plato); y, sin embargo, cada uno expresa características distintas.
Porque, aunque parezca mentira, no todos los amargores son iguales.
Prueba de ello nos la ofrece otra familia de vegetales de sabor característico: las crucíferas (Brassicaceae, Cruciferae). Miembros de esta familia son las coles y allegados (coliflor, bróculi, coles de Bruselas, colinabo, etc.), las mostazas, la colza, el nabo, los rábanos, o los berros, por poner unos cuantos ejemplos.
En general, y dejando idiosincrasias personales a parte, a pocos hace daño un plato de berza con patatas. Sin embargo, la cosa cambia si las consumimos en cantidades industriales, sobre todo si nuestra dieta es baja en yodo.
¿Por qué?
Porque los glucosinolatos, los mismos compuestos que les dan su sabor característico, y que a dosis adecuadas hacen mucho bien, si nos excedemos en su consumo pueden bloquear la asimilación de yodo, e interferir así con el metabolismo de la glándula tiroidea.
Una respuesta del tiroides ante la falta de este elemento es crecer en su busca, provocando lo que se conoce como bocio.
Sin embargo, parece que tenemos otra respuesta, y que se encuentra en nuestra lengua: se trataría de un miembro de la ya mencionada familia de receptores TAS2R, cuya existencia se descubrió hace décadas, pero cuya utilidad no terminaba de estar clara.
Ahora sabemos que, para aquellas personas que poseen una variante sensible (de este receptor), el amargor de las crucíferas es mucho mayor que para quienes no lo poseen.
¿Qué utilidad tiene esto?
Pues quizás ninguna, a no ser que te toque vivir en condiciones en las que el yodo no abunda en tu dieta (por ejemplo, si vives en una región montañosa, con suelos fuertemente empobrecidos respecto a este elemento).
Y, dejadme que os diga, la falta de yodo no es nada buena para nuestra salud; existe una familia entera de enfermedades y desórdenes ligados a la carencia de yodo, conocidos desde la antigüedad, como puedan ser el cretinismo, o el bocio. Conllevan problemas graves de desarrollo del sistema nervioso, y sólo muy recientemente (fundamentalmente, durante el s. XX) se ha descubierto la causa principal, y se ha intentado ponerle remedio.
Una ayudita nos la echa nuestra biología del gusto: si mi dieta es baja en yodo, y por tanto estoy en riesgo de desarrollar alguna enfermedad por ello, detectar por su amargor especies con glucosinolatos, que agravarían mi carencia de yodo, es utilísimo (suponiendo que ello disminuya mis ganas de comerlas).
***
Podría seguir con otros muchos ejemplos, pero considero que estos tres, de momento, sirven para ilustrar cuán complejo es el mundo de los compuestos tóxicos vegetales, y cómo muchas veces su toxicidad es circunstancial.
Pero, sobre todo, sirven para poner de manifiesto cómo nuestra especie, ante las lícitas defensas químicas puestas a punto por las plantas que desean no ser comidas, ha desarrollado adaptaciones, tanto biológicas como culturales, para navegar las aguas indigestas de cualquier cena a base de vegetales.
*
(Un caso distinto es el de los compuestos antinutritivos, o antinutrientes; el fitato es un ejemplo de éstos últimos, del que puede leerse más información aquí).
Bibliografía
El artículo más completo que he leído sobre metabolitos secundarios (entre ellos, toxinas) vegetales es el de Collier Jackson, F. L. 1991. Secondary Compounds in Plants (Allelochemicals) as Promoters of Human Biological Variability. Annu. Rev. Anthropol. 20:505-46.
El primer resumen que leí al respecto, conciso e interesante, está en
Vaughan, J. G. y Geissler, C. A. 2009. The New Oxford book of food plants. Oxford University Press: 219-221.
Pepitas de manzana
Síntomas e información sobre intoxicaciones por pepitas de manzana (incluido el extraño caso del señor que quiso comerse una taza de pepitas de manzana), en Nelson, L. S.; Shih, R. D. y Balick, M. J. 2007. Handbook of Poisonous and Injurious Plants (Second Edition). The New York Botanical Garden, Springer: 211-212.
Los síntomas de envenenamiento por compuestos cianogénicos (y cómo actuar en caso de intoxicación), en pp. 27-28.
La referencia sobre la sidra, compuestos cianogénicos, y la enfermedad de Leber, está sacada de Jones, D. A. 1998. Why are so many food plants cyanogenic? Phytochemistry 47 (2): 155-162
Los efectos de la cianogénesis como defensa contra herbívoros, incluso contra aquellos adaptados a las toxinas, p. ej. en D. J. Ballhorn & M. Heil & A. Pietrowski & R. Lieberei. 2007. Quantitative Effects of Cyanogenesis on an Adapted Herbivore. J Chem Ecol (2007) 33:2195–2208, DOI 10.1007/s10886-007-9380-4
Aventuras yuquiles, África, y otros cuentos
El primer artículo que despertó mi curiosidad sobre los sistemas socio-vegetales y la mandioca fue:
McKey, D.; Cavagnaro, T. R.; Cliff, J. y Gleadow, R. 2010. Chemical ecology in coupled human and natural systems: people, manioc, multitrophic interactions and global change. Chemoecology 20:109–133 DOI 10.1007/s00049-010-0047-1
Sigue siendo el más completo e interesante que he tenido el placer de leer. Creo que está todo, todo. Menos la historia cultural, pero el resto, todo.
Sobre el konzo, y cómo puede combatirse adoptando métodos más eficaces de procesado de la yuca, Banea, J. P. et al. 2013. Control of konzo by detoxification of cassava flour in three villages in the Democratic Republic of Congo. Food and Chemical Toxicology 60: 506–513
Para experiencias yuquiles en África,
Nyirenda, D. B.; Chiwona-Karltun, L.; Chitundu, M.; Haggblade, S. y Brimer, L. 2011. Chemical safety of cassava products in regions adopting cassava production and processing – Experience from Southern Africa. Food and Chemical Toxicology 49: 607–612
Etejere, E. O. y Bhat, R. B. 1985. Traditional Preparation and Uses of Cassava in Nigeria. Economic Botany 39 (2): 157-164.
Una tesis doctoral sobre la yuca en Gabón (África), con datos muy interesantes, es
Marc Delêtre. 2011. The ins and outs of manioc diversity in Gabon, Central Africa: A pluridisciplinary approach to the dynamics of genetic diversity of Manihot esculenta Crantz (Euphorbiaceae). Ecology, environment. Trinity College Dublin, 2009. English. <tel-00623219>
Está libremente accesible en línea.
La referencia sobre la fecha del descubrimiento arqueológico más antiguo de yuca está sacado de Hancock, J. E. 2012. Plant evolution and the origin of crop species (3rd ed). CABI Publishing: 162.
Brasicáceas secuestra-yodo
El mundo de los receptores gustativos es fascinante; no lo he estudiado en profundidad, pero sí he leído una explicación sobre la lógica tras la detección del sabor amargo en humanos, en:
Mueller, K.L.; Hoon, M.A.; Erlenbach, I.; Chandrashekar, J.; Zuker, C. S. y Ryba, N. J. P. 2005. The receptors and coding logic for bitter taste. Nature 434:225–229
Sobre la relación entre el receptor TAS2R sensible a PTC (hTAS2R38), y los glucosinolatos, véase: Sandell, M. A. y Breslin, P. A. S. 2006. Variability in a taste-receptor gene determines whether we taste toxins in food. Curr Biol 16:R792–R794.
Sobre las enfermedades ligadas a carencias de yodo, he consultado a Hetzel, B. S. ‘Iodine and Iodine-Deficiency Disorders’; en Kiple, K. F. y Ornelas, K. C. 2000. The Cambridge World History of Food, Vol. 1. Cambridge University Press: 797-811.
Ilustraciones
1- Jardín idílico (F. Leighton, Garden of the Hesperides, c. 1891), sacado de Wikipedia.
2- Manzana ‘Republican Pippin’ (Malus x domestica) con sus pepitas, sacada de Hoffy’s North American pomologist, containing numerous finely colored drawings, accompanied by letter press descriptions, &c., of fruits of American origin (Ed. by William D. Brincklé) (vía Biodiversity Library en Flickr).
3- Esquema de la amigdalina, sacado de —cómo no— Wikipedia.
4- Indio raspando yuca (un poco idealizada en lo que a proporciones respecta…), sacada de Histoire naturelle des iles Antilles de l’Amerique, vol. 1 (1667) (vía Biodiversity Library)
5- Yuca(s) (Manihot esculenta); la ilustración está sacada de Panhuys, L. von, Watercolours of Surinam (1811-1824) [unpublished], (1816) (vía http://plantillustrations.org). Las fotos son de una servidora.
6- Col de Bruselas, fotografía de la autora en el Real Jardín Botánico de Madrid (RJBM).
7- Grabado de personas afectadas de bocio (1819), sacado de Wikipedia.




Pingback: ¿Condenados por el salvado? | Imaginando Vegetales
Hola Aina. Muy interesante el artículo. Sin embargo me decido a comentar porque no estoy muy de acuerdo con el enfoque de origen: Las plantas están aquí para sobrevivir y reproducirse, defenderse de ser comidas. Creo que está más cerca de la realidad decir que las plantas forman poblaciones diversas, que evolucionan en el tiempo en paralelo con los depredadores que se alimentan de ellas y en equilibrio con ellos. Es curioso, pero a la vegetación de un ecosistema no le interesa que desaparezcan sus comedores herbívoros. los ecosistemas son maquinarias complejísimas y en equilibrio y no puede prescindirse de ninguno de sus elementos. Por ejemplo, en Andalucía (España) hay proyectos científicos desarrollados por el CSIC que llevan años comprobando cómo el pastoreo tradicional beneficia la vegetación pastoreada (no el intensivo), en biomasa y biodiversidad. Lo que está claro, como tú bien explicas, es que los conocimientos culturales tradicionales permiten la convivencia del hombre con esas plantas alimenticias tóxicas y es la inadaptación a nuevos usos lo que puede causar problemas. La distancia del hombre con la naturaleza que produce los alimentos.
Hola Mavi,
Estoy completamente de acuerdo con las puntualizaciones que planteas (que creo que complementan, pero no contradicen del todo, el enfoque inicial).
Tampoco creo que sea ‘verdadero’ que las plantas existan como equipo verde, unido y enfrentado a ‘los herbívoros’, puesto que también entre ellas compiten, cooperan… y no todos los herbívoros son iguales!
Y, ya que estamos, tampoco es lo mismo un ecosistema ‘natural’, que un sistema gestionado por la mano humana (aunque en el Mediterráneo estamos en un entorno en el que no se puede entender la evolución, según dicen algunos estudiosos, sin tener en cuenta el papel humano).
Una cosa es mirarlo desde el «punto de vista» de la planta (cuyos ‘objetivos’ son, fundamentalmente, sobrevivir y reproducirse), y otra hacer un enfoque a escala ecosistémica. Mirado como ecosistema, aparecen las propiedades emergentes de equilibrio dinámico, en las que cualquier alteración puede conllevar efectos inesperados (como las landas del Reino Unido, que sólo pueden mantenerse con un adecuado equilibrio entre pastoreo y reposo… o la introducción de plantas invasoras… o de cabras en ecosistemas insulares, donde se comen a algunas plantas, pero a otras –menos apetecibles– les favorece, puesto que se meriendan a la competencia…).
Y la distancia de la humanidad con la naturaleza, el desconocimiento de cómo funcionan los ecosistemas en que nos metemos, suele causar problemas. Menos mal que cada vez tenemos más herramientas para saber más, aunque aún queda camino por delante, creo…
¡Muchas gracias por la reflexión!
¡Excelente artículo! Soy de Argentina y vivo en un lugar tal que desde chico sembré, vi crecer y, sobre todo, comí mandioca (como le decimos acá). Es un manjar. A propósito del sabor amargo, en raras ocasiones he comido y la verdad que sí tenían un dejo amargo, pero sólo hace poco oí hablar de la variedad amarga, y de lo venenosa que es. Y fue en un artículo de Encarta 2009, que dice literalmente «Hay dos variedades de mandioca con valor económico: la amarga o tóxica, y la dulce o no tóxica. De ambas se extrae la tapioca, un alimento feculento muy nutritivo, cuyo compuesto venenoso es volátil y se elimina mediante el calor». Aquí en lo único que nos cuidamos de la mandioca es cómo se conserva rica y que se pueda cocinar. Por ejemplo, en invierno sólo hay variedades que se pueden comer, porque las hay que pierden el almidón y no se pueden cocinar. Lo mismo con el lavado… ¡Que no se nos ocurra lavar las mandiocas!, porque después hay problemas con el gusto y la cocción y el aspecto. Gracias por esta destacable publicación… seguiré leyendo por aquí. Un saludo desde Corrientes, Argentina.
¡Muchas gracias por el cumplido, y por compartir experiencias sobre la mandioca! Tus comentarios me han picado la curiosidad, pues la mayoría de cosas que he leído sobre la mandioca se refieren a las variedades amargas, y he leído poco sobre las ‘dulces’ y sus mecanismos de preparación: no hay día en que no se aprenda algo nuevo! Yo probé en África y creo que era variedad dulce, porque igual la cocimos, y no sabía amargo–pero sí la lavamos… muy curioso.
Gracias una vez más, es un placer saber que se ha disfrutado de la lectura como yo disfruté escribiéndolo 😀